Phone:
+91 90000 37701
Location: Hyderabad, India
About Us
Who We Are
What We Do
Our Facilities
Products
All Products
Resins For Peptide Synthesis
Linkers
Fmoc-Protected Amino Acids
Careers
contact Us
Adefovier
Home
Products
Adefovier
Back
Adefovier Products
AdefovierDipivoxil Impurity-5
CAS Number
NA
Molecular Formula
C15H24N5O7P
Molecular Weight
417.36
Stock Status
In Stock
Enquiry
Adefovir Dipivoxil Dimer
CAS Number
323201-05-4
Molecular Formula
C41H64N10O16P2
Molecular Weight
1014.96
Stock Status
In Stock
Enquiry
Adefovir dipivoxil Impurity-1
CAS Number
1215101-40-8
Molecular Formula
C25H40N5O9P
Molecular Weight
585.59
Stock Status
In Stock
Enquiry
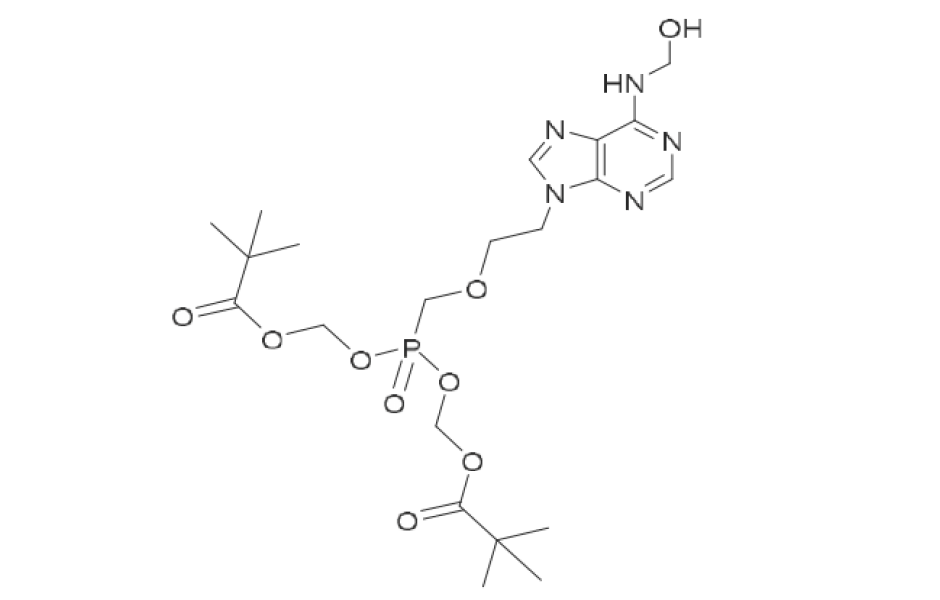
Adefovir Dipivoxil N6-Hydroxy methyl impurity
CAS Number
323201-04-3
Molecular Formula
C21H34N5O9P
Molecular Weight
531.5
Stock Status
In Stock
Enquiry
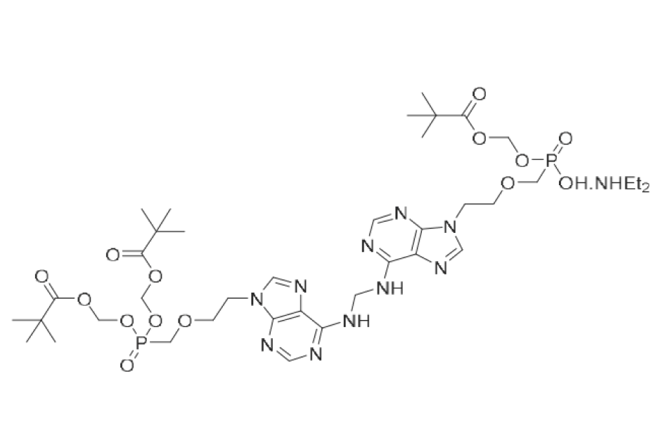
Adefovir Tripivoxil Dimer Diethylamine salt
CAS Number
NA
Molecular Formula
C35H54N10O14P2 (Free base) C39H65N11O14P2 (Salt)
Molecular Weight
900.82 (Free base) 973.96 (Salt)
Stock Status
In Stock
Enquiry
Get in touch for more details, our team feels happy to serve you.
Call Us at
+91 90000 37701