Phone:
+91 90000 37701
Location: Hyderabad, India
About Us
Who We Are
What We Do
Our Facilities
Products
All Products
Resins For Peptide Synthesis
Linkers
Fmoc-Protected Amino Acids
Careers
contact Us
Fosamprenavir
Home
Products
Fosamprenavir
Back
Fosamprenavir Products
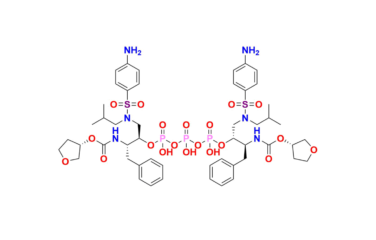
Bis Fosamprenavir Triphosphate Impurity
CAS Number
NA
Molecular Formula
C50H71N6O20P3S2
Molecular Weight
1233.18
Stock Status
In Stock
Enquiry
Fosamprenavir Amine Impurity
CAS Number
2078048-42-5 (Racemic)
Molecular Formula
C20H30N3O6P1S
Molecular Weight
471.51
Stock Status
In Stock
Enquiry
Fosamprenavir Ethyl Ester Impurity
CAS Number
NA
Molecular Formula
C23H34N3O8P1S
Molecular Weight
543.57
Stock Status
In Stock
Enquiry
Fosamprenavir Impurity 2
CAS Number
NA
Molecular Formula
C50H70N6O17P2S2 (Free Base) C50H73N7O17P2S2 (Ammonium Salt)
Molecular Weight
1170.23 (Ammonium Salt);1153.20 (Free Base)
Stock Status
In Stock
Enquiry
Fosamprenavir N-Butyl isomer Impurity
CAS Number
NA
Molecular Formula
C25H36N3O9P1S
Molecular Weight
585.61
Stock Status
In Stock
Enquiry
Fosamprenavir N-Propyl Homolog Impurity
CAS Number
1332577-23-7
Molecular Formula
C24H34N3O9P1S
Molecular Weight
571.58
Stock Status
In Stock
Enquiry
Fosamprenavir Pyrophosphate Impurity
CAS Number
NA
Molecular Formula
C25H37N3O12P2S
Molecular Weight
665.59
Stock Status
In Stock
Enquiry
Get in touch for more details, our team feels happy to serve you.
Call Us at
+91 90000 37701